Farmers’ perceptions and management of bacterial wilt disease: the case of gboma eggplant

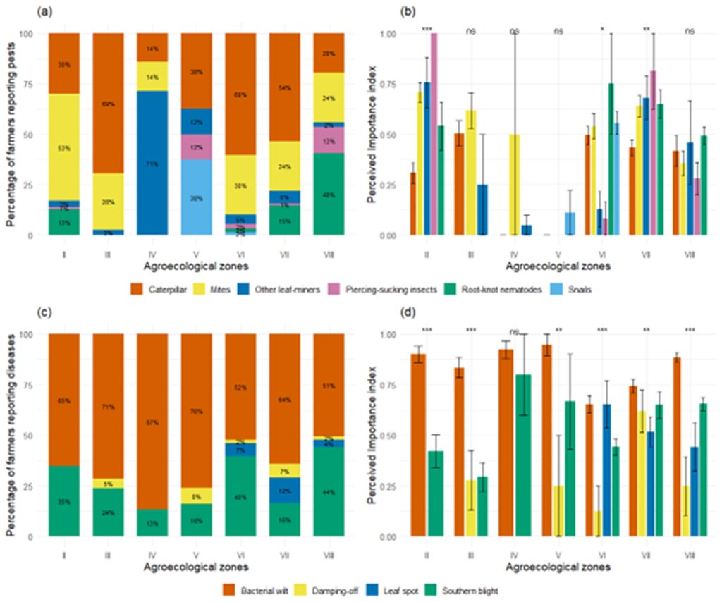
Sossou, B. E., Ayenan, M. A. T., Rachidatou, S., Ezin, V. A., Bouraïma, M. B., Schreinemachers, P., Achigan Dako, E. G. (2026). Farmers’ perceptions and management of bacterial wilt disease: the case of gboma eggplant (Solanum macrocarpon L.) in Benin. International Journal of Agricultural Sustainability, 24(1). https://doi.org/10.1080/14735903.2026.2636076 Leafy eggplant (Solanum macrocarpon L.), locally known as […]
